Beranda
/ Fpb Dari 32 Dan 48 : Kpk Dari 5 Dan 7 Adalah 35 2 Kelipatan 8 8 16 24 32 40 48 56 64 72 80 Jadi Fpb Dari 24 Dan 30 Adalah 6 6 Pdf Document - Thank's ea ini sangat membantu saya banget!
Fpb Dari 32 Dan 48 : Kpk Dari 5 Dan 7 Adalah 35 2 Kelipatan 8 8 16 24 32 40 48 56 64 72 80 Jadi Fpb Dari 24 Dan 30 Adalah 6 6 Pdf Document - Thank's ea ini sangat membantu saya banget!
Fpb Dari 32 Dan 48 : Kpk Dari 5 Dan 7 Adalah 35 2 Kelipatan 8 8 16 24 32 40 48 56 64 72 80 Jadi Fpb Dari 24 Dan 30 Adalah 6 6 Pdf Document - Thank's ea ini sangat membantu saya banget!. Dimana pangkat terendah dari keduanya adalah 2 dan pangkat terendah dari 3 adalah 1. Mantap tengok dulu pertanyaan baru di matematika. Pangkat terendah dari 5 adalah 1. Jika salah satu bilangan tersebut adalah 48, tentukan nilai bilangan yang lainnya!. Fpb dari 60 dan 72 berapa fpb dari 60 dan 72.
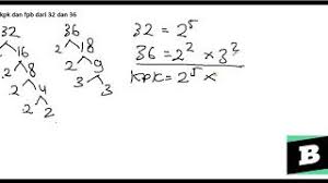
Kpk dari 72, 96, & 120 = 2 5 x 3 2 x 5. Dimana pangkat terendah dari keduanya adalah 2 dan pangkat terendah dari 3 adalah 1. Faktor prima dengan pangkat terkecil adalah 2 4. 32 = 2 × 2 × 2 × 2 × 2 = 2 5 48 = 2 × 2 × 2 × 2 × 3 = 2 4 × 3 64 = 2 × 2 × 2 × 2 × 2 × 2= 2 6 fpb = 2 4 = 16 jadi, fpb dari 32, 48 dan 64 adalah 16. Buat pohon faktor dari 36 dan 48 :
Fpb Dari 32 40 48 Bantu Jawab Brainly Co Id from id-static.z-dn.net Sebuah organisasi bantuan sosial memiliki 168 tikar, 216 selimut, dan 288 handuk. 32 = 2 × 2 × 2 × 2 × 2 = 2 5 48 = 2 × 2 × 2 × 2 × 3 = 2 4 × 3 64 = 2 × 2 × 2 × 2 × 2 × 2= 2 6 fpb = 2 4 = 16 jadi, fpb dari 32, 48 dan 64 adalah 16 d. Fpb dari 36 dan 48. Kalkulator rmr 31 july 2021. Fpb dari 60 dan 72 berapa fpb dari 60 dan 72. Tentukan fpb dari bilangan 20 dan 30. Operasi hitung bilangan bulat matematika kelas vi tentukan fpb dari 32, 48, dan 64 faktorisasi prima dari 32, 48, dan 64: Buat pohon faktor dari 36 dan 48 :
Alasannya adalah agar dapat membagi semua bilangan.
Kpk dari 72, 96, & 120 = 2 5 x 3 2 x 5. Dari hasil perhitungan dapat diketahui nilai kelipatan yang sama adalah 24 dan 48, namun masih terdapat banyak nilai kelipatan persekutuan yang belum terhitung. Fpb dari 36 dan 48. Menentukan fpb dan kpk pada. Diketahui kpk dan fpb dari dua buah bilangan berturut turut adalah 240 dan 16. Faktor prima dari 32 = 2 x 2 x 2 x 2 x 2 = 2 5 faktor prima dari 48 = 2 x 2 x 2 x 2 x 3 = 2 4 x 3 dari faktor prima di atas terdapat faktor yang sama bilangannya tapi beda pangkatnya, yaitu 2 5 dan 2 4. Fpb dari 72, 96, & 120 = 2 3 x 3. Jadi, kelipatan persekutuan 6 dan 8 adalah 24, 48, dan seterusnya. Faktor prima dengan pangkat terkecil adalah 2 4. Jika salah satu bilangan tersebut adalah 48, tentukan nilai bilangan yang lainnya! Dimana pangkat terendah dari keduanya adalah 2 dan pangkat terendah dari 3 adalah 1. Faktorisasi prima 68 2 x 2 x 17 fpb dari 44 56 dan 68 2 x 2 2². Langkah berikutnya adalah kita kalikan faktor prima yang sama dan dimiliki oleh ketiga bilangan.
Jadi, kelipatan persekutuan 6 dan 8 adalah 24, 48, dan seterusnya. Operasi hitung bilangan bulat matematika kelas vi tentukan fpb dari 32, 48, dan 64 faktorisasi prima dari 32, 48, dan 64: Fpb dari 72, 96, & 120 = 2 3 x 3. Lampu a menyala setiap 15 detik. 32 = 2 × 2 × 2 × 2 × 2 = 2 5 48 = 2 × 2 × 2 × 2 × 3 = 2 4 × 3 64 = 2 × 2 × 2 × 2 × 2 × 2= 2 6 fpb = 2 4 = 16 jadi, fpb dari 32, 48 dan 64 adalah 16 d.
Fpb Dari 36 Dan 48 Masnurul from i.ytimg.com Fpb dari 18 36 dan 48 dalam bentuk faktorisasi prima adalah. Jika salah satu bilangan tersebut adalah 48, tentukan nilai bilangan yang lainnya!. Konversi satuan kolestrol 28 july 2021. Jadi fpb dari 24, 42, dan 32 adalah 2. Kemudian dicari faktor yang sama: Faktorisasi prima 68 2 x 2 x 17 fpb dari 44 56 dan 68 2 x 2 2². Kalkulator rmr 31 july 2021. Dimana pangkat terendah dari keduanya adalah 2 dan pangkat terendah dari 3 adalah 1.
Fpb dari 36 dan 48.
= 32 x 9 x 5. 28 juni 2014 pukul 17:31. A a 2 times 3 times 5 b 22 times 3 times 5 cd 2 times 32 times 5 2 times 3 times 52 22. Dimana pangkat terendah dari keduanya adalah 2 dan pangkat terendah dari 3 adalah 1. 2² x 3² x 5b. Tentukan fpb dari bilangan 20 dan 30. Menentukan fpb dan kpk pada tiga bilangan. Konversi satuan kolestrol 28 july 2021. Sebuah organisasi bantuan sosial memiliki 168 tikar, 216 selimut, dan 288 handuk. Fpb dari 60 dan 72 berapa fpb dari 60 dan 72. Operasi hitung bilangan bulat matematika kelas vi tentukan fpb dari 32, 48, dan 64 faktorisasi prima dari 32, 48, dan 64: Fpb dari 24, 42, dan 32 adalah. Tentukan fpb dari 18 dan 24
Fpb dari 72, 60, dan 48= 2 2 x 3 = 12. Faktor prima dari 32 = 2 x 2 x 2 x 2 x 2 = 2 5 faktor prima dari 48 = 2 x 2 x 2 x 2 x 3 = 2 4 x 3 dari faktor prima di atas terdapat faktor yang sama bilangannya tapi beda pangkatnya, yaitu 2 5 dan 2 4. By nanonano 19 march 2021. Lampu a menyala setiap 15 detik. Pangkat terendah dari 5 adalah 1.
Kpk Dan Fpb Dari 32 40 Dan 60 Brainly Co Id from id-static.z-dn.net = 32 x 9 x 5. Kpk dari 72, 96, & 120 = 2 5 x 3 2 x 5. Jika salah satu bilangan tersebut adalah 48, tentukan nilai bilangan yang lainnya!. 2, 2, dan 3, maka fpb dari 36 dan 48 = 2 x 2 x 3 = 12. Jika diambil pangkat yang terbesar, maka tidak dapat membagi bilangan yang lebih kecil sehingga tidak ada persekutuan. Mantap tengok dulu pertanyaan baru di matematika. Jika salah satu bilangan tersebut adalah 48, tentukan nilai bilangan yang lainnya! = 32 x 9 x 5.
Diketahui kpk dan fpb dari dua buah bilangan berturut turut adalah 240 dan 16.
Fpb dari 32 dan 48 adalah 2^4 = 16. Tengs ya udah kasih tau cara nya semoga allah mebalas kebaikan anda aminnn…. Kpk dari 72, 96, & 120 = 2 5 x 3 2 x 5. Tentukan fpb dari 18 dan 24 Kelipatan 8 adalah 8, 16, 24, 32, 40, 48, 56, 64, 72, 80, dan seterusnya. Thank's ea ini sangat membantu saya banget! Dimana pangkat terendah dari keduanya adalah 2 dan pangkat terendah dari 3 adalah 1. Fpb dari 60 dan 72 berapa fpb dari 60 dan 72. Fpb = 2 x 5 = 10. Fpb dari 36, 48, dan 84 adalah 32 = 2 × 2 × 2 × 2 × 2 = 2 5 48 = 2 × 2 × 2 × 2 × 3 = 2 4 × 3 64 = 2 × 2 × 2 × 2 × 2 × 2= 2 6 fpb = 2 4 = 16 jadi, fpb dari 32, 48 dan 64 adalah 16 d. = 32 x 9 x 5. Mantap tengok dulu pertanyaan baru di matematika.
Berbagi
Posting Komentar
untuk "Fpb Dari 32 Dan 48 : Kpk Dari 5 Dan 7 Adalah 35 2 Kelipatan 8 8 16 24 32 40 48 56 64 72 80 Jadi Fpb Dari 24 Dan 30 Adalah 6 6 Pdf Document - Thank's ea ini sangat membantu saya banget!"
Posting Komentar untuk "Fpb Dari 32 Dan 48 : Kpk Dari 5 Dan 7 Adalah 35 2 Kelipatan 8 8 16 24 32 40 48 56 64 72 80 Jadi Fpb Dari 24 Dan 30 Adalah 6 6 Pdf Document - Thank's ea ini sangat membantu saya banget!"